| 附加檔案: |

IMG_20210621_3857.jpg [ 97.55 KIB | 被瀏覽 4969 次 ]
|
檔案註釋: 已為到左二澳村。

IMG_20210621_279.jpg [ 65.88 KIB | 被瀏覽 4969 次 ]
|

IMG_20210621_25287.jpg [ 101.12 KIB | 被瀏覽 4969 次 ]
|

IMG_20210621_42784.jpg [ 89.41 KIB | 被瀏覽 4969 次 ]
|

IMG_20210621_5612.jpg [ 19.6 KIB | 被瀏覽 4969 次 ]
|
檔案註釋: 到尾柱。一路漫上

IMG_20210621_2304.jpg [ 69.08 KIB | 被瀏覽 4969 次 ]
|

IMG_20210621_2649.jpg [ 94.19 KIB | 被瀏覽 4969 次 ]
|
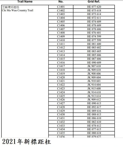
檔案註釋: 行行吓突然見右有枝新C1401標距柱。 無影到再一路上

IMG_20210621_1225.jpg [ 82.76 KIB | 被瀏覽 4969 次 ]
|

IMG_20210621_1225.jpg [ 82.76 KIB | 被瀏覽 4969 次 ]
|
檔案註釋: 到C1435

IMG_20210621_49290.jpg [ 91.3 KIB | 被瀏覽 4969 次 ]
|